编者按
我们昨天报道了《独家:海信成功对夏普开出禁言令,夏普美国绝地反击!》。我们第一时间拿到了起诉状全文。出于研究和学习目的,分享如下。本案报道并无任何特定立场或商业目的,也不代表任何机构,材料来源合法。特此声明。
1. 夏普和海信的许可协议中包含许可海信以夏普的品牌在北美销售电视,为期五年。其后,夏普认为海信出售电视质量下降,要求终止许可协议,并于2017年6月向美国加州法院起诉。
2. 海信于2017年4月27日向新加坡国际仲裁中心提起仲裁,并请求临时措施。2017年5月9日紧急仲裁员做出临时裁决(即禁言令)。该裁决在本案中被作为证据一提交。
3. 在管辖理由中,夏普将海信美国和海信国际被列为共同被告,以其在美有经营活动,主张美国法院对其有属人管辖权。夏普还主张,联邦通讯委员会位于华盛顿,所以应由哥伦比亚特区地区法院管辖。
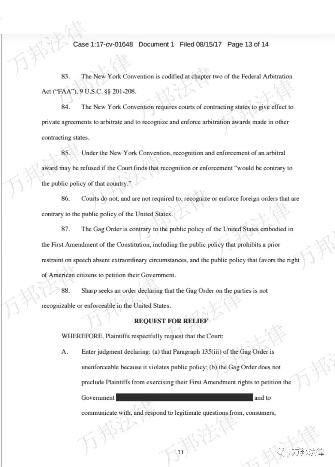
4. 夏普主张禁言令侵犯其言论自由权和向政府请愿权,并把向主管机关提交的材料作为证据二。
起诉状全文如下(相关敏感部分已做处理)
↓↓↓


